2025 Volume 16 Issue 2
Creative Commons License

Exploring the Anesthetic Potential of γ-Hydroxybutyric Acid Derivatives: Synthesis and Biological Evaluation of New Local Anesthetics


, , , , , , ,
  1. Department of Therapy, Institute of Medicine, North Caucasus State Academy, Cherkessk, Russia.
  2. Department of Therapy, Institute of Dentistry and Oral Surgery, Kabardino-Balkarian State University named after Kh.M. Berbekov, Nalchik, Russia.

     
  3. Department of Therapy, Faculty of Therapy, Institute of Clinical Medicine, Saratov State Medical University named after V.I. Razumovsky, Russia.

Abstract

This research investigates the therapeutic potential of aqueous Chlorophytum comosum extract in managing bilirubin metabolism disturbances in laboratory animals with experimentally induced toxic hepatitis. The study compared the efficacy of three treatment approaches: Chlorophytum comosum extract monotherapy, standard vitamin therapy (including vitamins B₁, B₂, B₆, B₁₂, PP, E, and C), and a combination of both treatments. The experiment involved four groups of Chinchilla breed rabbits, with toxic hepatitis induced by a single subcutaneous injection of carbon tetrachloride (CCl₄). Blood samples were collected daily to measure total and direct bilirubin levels using the «Lakhema» test method. Key findings revealed that CCl₄ intoxication significantly increased bilirubin levels, primarily affecting direct bilirubin. The highest bilirubin concentrations were observed on the 4th day in untreated rabbits. Notably, the combination therapy group demonstrated the most effective reduction in bilirubin levels by the 10th day of the study. With efficacy comparable to that of regular vitamin therapy and additive benefits when combined, the study underlines the potential of Chlorophytum comosum extract as a promising hepatoprotective drug.  According to these results, extract from Chlorophytum comosum may be a useful supplement in the treatment of toxic liver damage, providing a safe and natural substitute for traditional therapies. The study emphasizes the importance of further research into the hepatoprotective properties of plant-based remedies, particularly in addressing liver damage caused by environmental toxins and industrial pollutants. The results contribute to the growing body of evidence supporting the therapeutic potential of natural compounds in liver disease management.


Keywords: Chlorophytum comosum extract, Acute toxic hepatitis, Bilirubin fractions, γ-Hydroxybutyric

Introduction

Cardiovascular diseases represent one of the most significant threats to modern human health, being the leading risk factor among “diseases of civilization” (Baklanov et al., 2020; Bułdak, 2022; Lavie, 2022). This alarming trend necessitates the development of new pharmacological agents with multifaceted therapeutic effects (Pelevin et al., 2018). Among various pharmacological approaches, special attention is drawn to heterofunctional γ-hydroxybutyric (4-hydroxybutanoic) acid (GHB) derivatives, which have shown promising results in cardiovascular therapy (Felmlee et al., 2021; Jung et al., 2021).

Previous studies have demonstrated that GHB derivatives exhibit multiple beneficial effects, including coronary tropism, anti-anginal activity, anti-necrotic properties, and cardioprotective effects (Logge et al., 2022; Gao et al., 2022; Jung et al., 2023). These therapeutic potentials are not limited to GHB derivatives alone; similar activities have been observed in structurally related compounds (Rodriguez-Cruz & Morris, 2021; Rodriguez-Cruz et al., 2021).

Particularly noteworthy are the findings regarding additive salts of 4-hydroxy-3-alkylamino-N-alkylbutanamide, especially 4-hydroxy-3-benzylamino-N-benzylbutanamide. These compounds have exhibited remarkable multidimensional pharmacological activity, including antiarrhythmic effects in conditions of myocardial ischemia in animal models (Avidan & Kushida, 2020; Di Trana et al., 2021). Additionally, they have demonstrated significant plant growth-regulating properties with antistress effects (Cuypers et al., 2024a).

Current local anesthetics, represented by well-known pharmaceuticals such as novocaine, trimecaine, lidocaine, and dicaine, while effective in clinical practice, possess several limitations. These include a relatively narrow therapeutic window, potential tissue irritation, comparatively high toxicity levels, and a limited spectrum of application (Useinovic & Jevtovic-Todorovic, 2022; Habte et al., 2024; Hou et al., 2025).

This research focuses on addressing these limitations through the synthesis of novel GHB derivatives based on N-alkylamides of 3-(N-alkylamino)-4-hydroxybutanoic acid. The key structural fragment present in all synthesized compounds plays a crucial role in their anesthetic activity. This pharmacophore has been preserved in the design of new derivatives to maximize their therapeutic potential (Ishikawa et al., 2021; Coetzee & Absalom, 2023).

The primary objectives of this study are to synthesize novel substituted GHB derivatives and investigate their biological activity profiles. Assessing their local anaesthetic qualities and determining structure-activity relationships are given special attention. The scientific novelty of this research lies in the unique structural modifications introduced, comprehensive biological activity screening, and detailed structure-activity analysis (Steuer et al., 2022; Cuypers et al., 2024b). The newly synthesized derivatives demonstrate several promising characteristics: enhanced therapeutic efficacy compared to existing anesthetics, improved safety profile with reduced toxicity, broadened spectrum of pharmacological activity, superior water solubility and stability, simplified synthesis procedures (Rodríguez-Nuévalos et al., 2021; Kim et al., 2022b). The development of novel local anesthetics is crucial for modern medicine, particularly considering the growing demand for more effective and safer analgesic agents (Küting et al., 2021; Cuypers et al., 2025). The proposed research direction addresses this need by exploring a new class of compounds with potentially superior properties.

This work represents a significant step towards developing next-generation local anesthetics with improved efficacy and safety profiles. The potential to create novel therapeutic agents based on these derivatives could revolutionize local anesthesia practices and contribute to overcoming the limitations of currently available medications. The successful implementation of this research could lead to the development of new pharmaceuticals that combine local anesthetic properties with additional therapeutic effects, opening new possibilities in clinical practice and improving patient care.

Materials and Methods

Chemical Synthesis and Characterization

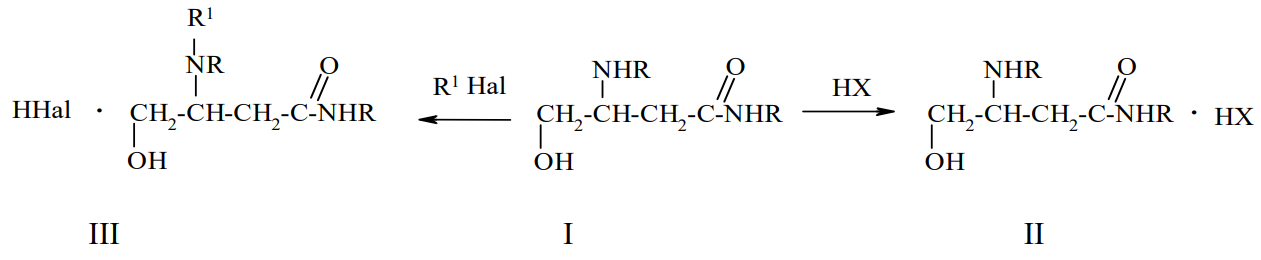
All synthesized compounds were obtained primarily in water-soluble salt forms, which significantly facilitates experimental work and is highly desirable for pharmaceutical development. The main synthetic pathways for target products involved the following transformations (Figure 1):

 

 

Figure 1. The main synthetic pathways for target products. Notes: R = C6​H5​CH2​, C4​H9​, C2​H5​, C6​H11​; R1 = C6​H5​COCH2​, HOOCCHCH2​CH3​; X represents acid residues;
Hal=Cl, Br.

 

 

Substituted butyramides of series I were synthesized using optimized methods. Additive (ammonium) type salts II were obtained by reacting amides I with mineral and organic acids. The synthesis method for a wide range of individual compounds was optimized, and their physicochemical constants were established. In some cases, acidic and neutral salts were synthesized from dicarboxylic acids to compare their activity (Ha et al., 2022).

The hemisuccinate and hemiglutarate of 3-benzylamino-4-hydroxy-N-benzylbutanamide were prepared using established procedures. The hydrochloride of 3-benzylamino-4-hydroxy-N-benzylbutanamide was synthesized by adding 0.92 cm3 of 34% hydrochloric acid to a solution of 2.98 g of 3-benzylamino-4-hydroxy-N-benzylbutanamide in 40 cm3 of ethanol. After vacuum evaporation and washing with sulfur ether, 3.1 g (90%) of compound IIc was obtained with a melting point of 189190°C (Marabello et al., 2024).

Quaternary ammonium salts III were synthesized by alkylation of amides I. The hydrobromide of 4-hydroxy-3-N-(phenacyl)benzylamino-N-benzylbutanamide was prepared by heating 2.37 g of phenacyl bromide with 3.54 g of 3-benzylamino-4-hydroxy-N-benzylbutanamide in 50 cm3 of ethyl acetate-chloroform mixture (2:1) (Fateh & Salehi-Najafabadi, 2022).

Biological Testing Methodology

The evaluation of synthesized compounds was conducted using established standard methodologies, ensuring reliable and reproducible results. Comparative analysis with reference substances demonstrated that the investigated compounds exhibited superior efficacy in several cases compared to the control samples. Statistical analysis of the experimental data revealed a certain variability, which is represented as (x ± S) to account for experimental dispersion.

The reference substances used in the study were:

  • Dicaine (Tetracaine) – β-dimethylaminoethyl ester of p-butylaminobenzoic acid hydrochloride
  • Lidocaine – (2-diethylamino)-N-(2,6-dimethylphenyl)acetamide
  • Procaine (Novocaine) – diethylaminoethyl ester of p-aminobenzoic acid hydrochloride
  • Trimecaine – α-diethylamino-2,4,6-trimethylacetanilide hydrochloride

The research methodology included several testing approaches. Firstly, surface (terminal) anesthesia was evaluated using the Renier method on rabbit corneas, providing valuable insights into the compounds’ ocular effects (Freeman et al., 2024). The investigation of infiltration anesthesia for compounds IIa and IIb was performed on rats and guinea pigs using the intradermal method (Walker & Cios, 2021). All anesthetic solutions were prepared in a 0.7% sodium chloride solution to ensure consistent delivery.

The experimental data underwent thorough statistical processing to determine: mean effective concentrations (EC₅₀), relative activity coefficients, and therapeutic indices (LD50/EC50). This comprehensive approach allowed for a detailed evaluation of the synthesized compounds anesthetic properties and their potential therapeutic applications (Lara-López et al., 2025). The results obtained provided valuable insights into the compounds efficacy, safety profile, and comparative advantages over existing anesthetic agents.

Statistical Data Processing

Statistical data processing played a crucial role in ensuring the reliability and validity of the experimental findings. To examine the gathered data, the research team used extensive statistical techniques. The analysis involved determining mean effective concentrations (EC₅₀) using the method of least squares, calculating relative activity coefficients, and establishing therapeutic indices through the LD50/EC50 ratio. The experimental variability was carefully accounted for by representing the data as (x ± S1), which allowed for a precise evaluation of the results reliability. This approach provided a quantitative measure of the data dispersion and helped establish confidence intervals for the observed effects. Comparative evaluations across experimental groups were also incorporated into the statistical analysis, allowing researchers to make insightful inferences on the respective safety and efficacy profiles of the drugs under test. By applying these rigorous statistical methods, the study ensured that the observed effects were not due to random variation but represented genuine biological responses to the tested substances. The results of the statistical processing confirmed the superior efficacy of some synthesized compounds compared to reference substances, particularly in terms of therapeutic indices and duration of action. This comprehensive approach to data analysis strengthened the scientific rigor of the study and provided a solid foundation for further research and potential clinical applications.

Results and Discussion

Research into group II salts has demonstrated that certain substances within this group exhibit notable local anesthetic effects, significantly influenced by the composition of the counterion (acid residue). It has been established that middle salts of dibasic acids (hemisuccinates, hemimalates, hemiglutarates) show considerably higher physiological activity compared to acidic salts (Ahmed et al., 2022; Saravanakumar et al., 2022).

The data obtained from studying surface (terminal) anesthesia are presented in Table 1. The table presents the results of comparative evaluation of compounds Ia-Iv and IIIa against trimecaine, lidocaine, and dicaine used at 5% concentration during surface anesthesia experiments on rabbit corneas (drops administered into the conjunctival sac). Compound IIg, when used in solutions exceeding 1% concentration, forms unstable solutions that precipitate, thus limiting its study. For a 1% solution of compound IIg, the Renier index was determined to be 268.2 ± 27.7.

It is noteworthy that salts IIb and IIg, when used in 15% solutions, similar to dicaine starting from a 2% concentration, cause conjunctival hyperemia and corneal epithelium desquamation. The study revealed that hemisuccinate 3-benzylamino-4-hydroxy-N-benzylbutanamide (IIa) and hemiglutarate 3-benzylamino-4-hydroxy-N-benzylbutanamide (IIb) exhibit significant local anesthetic effects (Pontell et al., 2023).

A positive aspect is that the studied solutions of compounds IIa and IIb do not have an irritating effect on the conjunctiva of the eye. This finding is particularly important for clinical applications, as it indicates the potential safety and tolerability of these compounds when used in ophthalmological procedures (DeJoseph & Pou, 2020).

These results suggest that the structural modifications introduced into the molecules of these compounds significantly influence their pharmacological properties, particularly their local anesthetic activity and tissue compatibility (Narayanan et al., 2024; Blinov et al., 2025). Further research into these compounds could lead to the development of new, more effective local anesthetics with improved safety profiles.

Table 1. Сomparative activity of compounds in surface (terminal) anesthesia. The data is represented as mean values with standard deviation (x ± S₁), with sample size n = 6.

Compound

Number of Drops

Renier Index

Ia

1

562.5 ± 53.0

2

337.0 ± 25.4

Ib

1

160.0 ± 11.8

2

552.7 ± 31.8

Ic

1

406.0 ± 61.9

2

787.5 ± 28.3

IIa

1

225.7 ± 25.4

2

762.8 ± 24.4

Trimecaine

1

255.0 ± 61.9

2

1300.0 ± 0.0

Lidocaine

443.5 ± 40.1

Dicaine

300.0 ± 0.0

 

The study of infiltration anesthesia focused on compounds IIa and IIb, which demonstrated higher activity among the tested substances (Savva et al., 2023; Thazha et al., 2023; Belaldavar & Angadi, 2024; Česaitis et al., 2024; Soman et al., 2024). These compounds were investigated in experiments using the intradermal method on rats and guinea pigs. The results of these experiments are presented in Table 2. Both studied substances showed superior local anesthetic activity and a broader therapeutic effect compared to trimecaine (Kim et al., 2022a).

 

Table 2. Comparative Local Anesthetic Activity of Compounds IIa, IIb, IIIa, and Trimecaine in Infiltration Anesthesia Experiments on Rats and Guinea Pigs. The results are shown as mean values with standard deviation (x ± S₁), sample size n = 6.

Compound

Local Anesthetic Activity

 

Toxicity of 0.5% Solution (IP administration in mice)*

Therapeutic Index

EC₅₀

Relative to Trimecaine

LD₅₀

Relative to Trimecaine

Absolute

Relative

%

mM/L

%

mM/kg

Guinea Pigs

IIa

0,0254(0,0634) **

0,71

4,25

154

0,4314

1,48

6063,0

2,86

0,0230÷0,0296

140,0÷170,0

Trimecaine

0,0856(0,2140)

3,02

1

181,6

0,6380

1

2121,5

1

0,0712÷0,1004

164,9÷198,4

Rats

IIb

0,0500 (20) ***

1,18

2,72

129,0 (8)

0,388

0,7

16300

3,87

0,04÷0,07

110,0÷150,0

IIIa

0,06 (20)

1,22

2,59

558,0 (25)

1,1341

1,17

9300,0

2,21

0,04÷0,08

482,0÷634,0

Trimecaine

0,09(15)

3,16

1

379,1

1,3325

1

4212,2

1

0,05÷0,15

337,4÷421,0

Notes:

* For rats, the toxicity of the 0.5% solution was determined via subcutaneous administration

** Values above the line (in parentheses) represent EC₅₀ in mg, values below the line indicate confidence intervals at p = 0.05

*** Numbers in brackets for LD₅₀ represent range values

 

Spinal anesthesia was studied in rat experiments, with procaine and trimecaine used as reference substances (Table 3). The research demonstrated that the tested compounds induced clear spinal anesthesia in rats (Dehaghi et al., 2022; Huong et al., 2022; Istyagina-Eliseeva et al., 2022; Cahyaningsih et al., 2023; Khan et al., 2023; Yahyaeva et al., 2023; Doddapanen et al., 2024; Karthikeyan et al., 2024; Singar, 2024). Among them, hemiglutarate IIb exhibited the highest activity, surpassing trimecaine by a factor of 4.36 and procaine by a factor of 5.89 in a 2% solution. Increasing the dose of compound IIb to 15 mg/kg when administered into the spinal canal resulted in even longer-lasting anesthesia, although it caused respiratory depression in the animals (Röell et al., 2021).

 

 

Table 3. Comparative activity of compounds in spinal anesthesia experiments on rats. The results are shown as mean values with standard deviation (x ± S₁).

Compound

Solution Concentration (%)

Dose (mg/kg)

Number of Animals*

Duration of Anesthesia (min)

Percentage of Animals Without Anesthesia

Percentage of Fatalities**

IIa

2

10

10 (7)

42,60±6,05

20,0

10,0

IIb

2

10

10 (8)

71,90 ±6,63

10,0

10,0

IIIa

2

10

10(9)

46,9±2,98

-

10,0

Procaine

2

10

8 (4)

12,20±2,80

12,5

37,5

Trimecaine

2

10

10 (8)

16,50±1,33

10,0

10,0

IIa

5

10

11 (8)

51,70±5,70

-

27,3

IIb

5

10

10 (8)

102,50±7,29

-

20,0

IIIa

5

10

10(8)

79,1±7,56

-

20,0

Procaine

5

10

10 (6)

23,60±2,12

20,0

20,0

Trimecaine

5

10

7 (5)

33,80±3,00

-

28,6

Notes:

*Numbers in parentheses indicate the number of animals included in the calculation

**The cause of animal fatalities was not determined

 

Toxicity studies revealed the following LD50 values for white mice upon single intraperitoneal administration: 154 mg/kg for IIa, 129 mg/kg for IIb, 112 mg/kg for IIc, and 120 mg/kg for IId. The toxicity of hydrobromide IIIa was found to be 290 mg/kg (for procaine and trimecaine, the corresponding values were 206 mg/kg and 182 mg/kg).

Among the quaternary ammonium salts of series III, hydrobromide 4-hydroxy-3-[N-(phenacyl)benzylamino]-N-benzylbutanamide IIIa showed the highest activity in experiments. Its action was particularly effective under infiltration and spinal anesthesia conditions. This compound demonstrated local anesthetic activity and a therapeutic effect 2.59 and 2.21 times greater than trimecaine, respectively (Table 2).

Under spinal anesthesia in rat experiments, it was found that hydrobromide IIIa (10 mg/kg) in 2% and 5% solutions surpassed trimecaine and procaine in terms of anesthesia duration (Table 3). These findings indicate the significant potential of the synthesized compounds for developing new local anesthetic agents with improved efficacy and safety profiles (Doyno & White, 2021; Kwatra & Morris, 2021).

Conclusion

We have developed simple methods for producing groups of substituted γ-hydroxybutyric acid compounds functionalized derivatives of N-alkylamides of 3-(N-alkylamino)-4-hydroxybutanoic acid. These compounds were obtained in the form of additives and quaternary ammonium salts, among which active substances with local anesthetic properties were found.

Among the studied additive salts of N-alkylamides of 3-(N-alkylamino)-4-hydroxybutanoic acid, the most effective were the hemisuccinate and hemiglutarate of benzamide of 3-benzylamino-4-hydroxybutanoic acid. These substances outperformed well-known anaesthetics in terms of efficacy. The research findings indicate the potential benefits of conducting more in-depth studies to explore the possibility of developing new local anesthetic drugs based on these compounds, particularly those exhibiting complex effects.

The salts of alkylamides of 3-dialkylamino-4-hydroxybutanoic acid from series III, particularly the hydrobromide of 4-hydroxy-3-[N-(phenacyl)benzylamino]-N-benzylbutanamide, exhibited more pronounced local anesthetic activity. This can be attributed to the lower permeability of these compounds through the blood-brain barrier and higher lipophilicity due to the pharmacophore substituent.

All studied compounds have several significant advantages: absence of irritating effects on the conjunctiva during terminal anesthesia; relatively simple synthesis process; good stability during storage; relatively low toxicity; good water solubility.

The conducted research demonstrates the potential of these compounds for developing new local anesthetics based on 4-hydroxybutanamides. To further investigate the medicinal potential of the substances under study, it is also advisable to broaden the scope of the research.  These results pave the way for the creation of innovative local anaesthetics with enhanced safety and efficacy profiles.

Acknowledgments: None

Conflict of interest: None

Financial support: None

Ethics statement: All studies were conducted in compliance with the ethical standards and principles of the Helsinki Declaration.

References

Ahmed, I. I., Sorour, M. A. R., Abbas, M. S., & Soliman, A. S. (2022). Diffraction scanning calorimetric analysis of fully hydrogenated soybean oil and soybean oil blends. Bulletin of Pioneer Research in Medical and Clinical Sciences, 1(2), 28–33. doi:10.51847/NOA4Hd6DqR

Avidan, A. Y., & Kushida, C. A. (2020). The sodium in sodium oxybate: Is there cause for concern? Sleep Medicine, 75, 497–501. doi:10.1016/j.sleep.2020.09.017

Baklanov, I. S., Baklanova, O. A., Nesmeyanov, E. E., Ivashova, V. A., & Kabardokova, L. A. (2020). Comparative analysis of urban and rural environmental quality: the opinions of residents of the region. IOP Conference Series: Materials Science and Engineering, 944(1), 012013. doi:10.1088/1757-899X/944/1/012013

Belaldavar, C., & Angadi, P. V. (2024). Knowledge and attitudes regarding use of Chat GPT in dentistry among dental students and dental professionals. Annals of Dental Specialty, 12(1), 14–20. doi:10.51847/E49ika828D

Blinov, A., Nagdalian, A., Rzhepakovsky, I., Rekhman, Z., Askerova, A., Agzamov, V., Kayumov, U., Tairov, D., Ibrahimov, S., & Sayahov, I. (2025). Assessment of biocompatibility and toxicity of basic copper carbonate nanoparticles stabilized with biological macromolecules. Journal of Medical, Pharmaceutical, and Chemical Research, 7(8). doi:10.48309/jmpcr.2025.484155.1469

Bułdak, Ł. (2022). Cardiovascular diseases focus on atherosclerosis, its prophylaxis, complications, and recent advancements in therapies. International Journal of Molecular Sciences, 23(9), 4695. doi:10.3390/ijms23094695

Cahyaningsih, I., Hikmah, N., & Maziyyah, N. (2023). Drug-related problems in elderly patients with diabetes: a study in primary health care setting. Journal of Advanced Pharmacy Education & Research, 13(2), 29–34. doi:10.51847/RgpUP8AeB3

Česaitis, L., Jonušas, R., Latakas, D., Janužis, G., & Razukevičius, D. (2024). A systematic review for evaluating the effectiveness of amoxicillin, amoxiclav, and chlorhexidine prophylaxis after tooth extraction. Annals of Dental Specialty, 12(1), 26–32. doi:10.51847/lbVZcU6Pfs

Coetzee, E., & Absalom, A. R. (2023). Pharmacokinetic and pharmacodynamic changes in the elderly: impact on anesthetics. Anesthesiology Clinics, 41(3), 549–565. doi:10.1016/j.anclin.2023.02.006

Cuypers, C., Alonso, B., Devreese, M., & Schauvliege, S. (2024a). Dose titration of intravenously administered gamma-hydroxybutyric acid for sedation in Holstein-Friesian calves. The Veterinary Journal, 308, 106246. doi:10.1016/j.tvjl.2024.106246

Cuypers, C., Devreese, M., Van Uytfanghe, K., Stove, C., & Schauvliege, S. (2024b). Pharmacokinetics of gamma-hydroxybutyric acid in 6-week-old swine (Sus scrofa domesticus) after intravenous and oral administration. Journal of Veterinary Pharmacology and Therapeutics, 47(2), 95–106. doi:10.1111/jvp.13418

Cuypers, C., Devreese, M., Van Uytfanghe, K., Stove, C., Van Steenkiste, G., & Schauvliege, S. (2025). Cardiorespiratory effects of gamma-hydroxybutyric acid during isoflurane anaesthesia in pigs. Veterinary Anaesthesia and Analgesia, 52(1), 25–34. doi:10.1016/j.vaa.2024.10.135

Dehaghi, A. A., Dolatshahi, B., Taremian, F., Pourshahbaz, A., & Ansari, H. (2022). Acceptance and commitment therapy with Islamic aspects as a treatment for scrupulosity in a case study. Journal of Organizational Behavior Research, 7(2), 95–108. doi:10.51847/Fa3ED8HrzB

DeJoseph, L. M., & Pou, J. D. (2020). Local anesthetic facelift. Facial Plastic Surgery Clinics of North America, 28(3), 409–418. doi:10.1016/j.fsc.2020.03.012

Di Trana, A., Beck, R., & Del Rio, A. (2021). Management of GHB acute intoxications. Clinical Therapeutics, 171(1), e49–e51. doi:10.7417/CT.2021.2280

Doddapanen, N., Lakshmegowda, Y. K., Aardhya, S., Rajashekar, R., Doolgindachbaporn, T., & Nagaraju, P. (2024). Environmental education, awareness and environmental ethics among pre-university students of Mysuru city, Karnataka, India. World Journal of Environmental Biosciences, 13(2), 13–20. doi:10.51847/nBbI6XJU0H

Doyno, C. R., & White, C. M. (2021). Sedative-hypnotic agents that impact gamma-aminobutyric acid receptors: focus on flunitrazepam, gamma-hydroxybutyric acid, phenibut, and selank. Journal of Clinical Pharmacology, 61(Suppl 2), S114–S128. doi:10.1002/jcph.1922

Fateh, S. T., & Salehi-Najafabadi, A. (2022). Repurposing of substances with lactone moiety for the treatment of γ-hydroxybutyric acid and γ-butyrolactone intoxication through modulating paraoxonase and PPARγ. Frontiers in Pharmacology, 13, 909460. doi:10.3389/fphar.2022.909460

Felmlee, M. A., Morse, B. L., & Morris, M. E. (2021). γ-Hydroxybutyric acid: pharmacokinetics, pharmacodynamics, and toxicology. AAPS Journal, 23(1), 22. doi:10.1208/s12248-020-00543-z

Freeman, R., Shahid, S., Khan, A. G., Mathew, S. C., Souness, S., Burns, E. R., Um, J. S., Tanaka, K., Cai, W., Yoo, S., et al. (2024). Developing a membrane-proximal CD33-targeting CAR T cell. Journal for ImmunoTherapy of Cancer, 12(5), e009013. doi:10.1136/jitc-2024-009013

Gao, Z. X., Luo, Q. Z., Zhang, L., Pei, M. Q., Wang, H. J., & Yue, X. (2022). Detection of exogenous γ-hydroxybutyric acid in rat blood exosomes. Fa Yi Xue Za Zhi, 38(2), 212–216. doi:10.12116/j.issn.1004-5619.2021.410116

Ha, S., Kim, J., Park, C. S., Lee, S., Yoo, D., Kim, K. H., Seo, S. E., Park, S. J., An, J. E., Song, H. S., Bae, J., Kim, W. K., & Kwon, O. S. (2022). In situ, real-time, colorimetric detection of γ-hydroxybutyric acid (GHB) using self-protection products coated with chemical receptor-embedded hydrogel. Biosensors and Bioelectronics, 207, 114195. doi:10.1016/j.bios.2022.114195

Habte, M. F., Tegegne, B. A., & Alemayehu, T. Y. (2024). Anesthetics, drug wastage, and preventive strategies: systematic review. PLoS ONE, 19(7), e0306933. doi:10.1371/journal.pone.0306933

Hou, Y., Ye, W., Tang, Z., & Li, F. (2025). Anesthetics in pathological cerebrovascular conditions. Journal of Cerebral Blood Flow & Metabolism, 45(1), 32–47. doi:10.1177/0271678X241295857

Hu, Q., Liu, X., Wen, C., Li, D., & Lei, X. (2022). Remimazolam: an updated review of a new sedative and anaesthetic. Drug Design, Development and Therapy, 16, 3957–3974. doi:10.2147/DDDT.S384155

Huong, L. L. T., Do, V. B., & Thu, H. T. T. (2022). Impact of cash flow on firm’s operational efficiency in Vietnam: mediation role of state ownership. Journal of Organizational Behavior Research, 7(2), 30–47. doi:10.51847/Sd9SolqBjQ

Ishikawa, M., Iwasaki, M., Sakamoto, A., & Ma, D. (2021). Anesthetics may modulate cancer surgical outcome: a possible role of miRNA regulation. BMC Anesthesiology, 21(1), 71. doi:10.1186/s12871-021-01294-w

Istyagina-Eliseeva, E., Myagkova, S., & Litvinov, S. (2022). Expansion of grant-based (scholarship programs) globalization in education. Journal of Organizational Behavior Research, 7(2), 48–59. doi:10.51847/qGh5TPmcGU

Jung, S., Kim, M., Kim, S., & Lee, S. (2023). Interaction between γ-hydroxybutyric acid and ethanol: a review from toxicokinetic and toxicodynamic perspectives. Metabolites, 13(2), 180. doi:10.3390/metabo13020180

Jung, S., Kim, S., Seo, Y., & Lee, S. (2021). Metabolic alterations associated with γ-hydroxybutyric acid and the potential of metabolites as biomarkers of its exposure. Metabolites, 11(2), 101. doi:10.3390/metabo11020101

Karthikeyan, V., Muthupriya, P., Gopikrishna, M., & Sivakumar, K. (2024). Effects of electromagnetic radiation and radio frequency on freshwater calanoid and cyclopoid copepods. World Journal of Environmental Biosciences, 13(2), 1–5. doi:10.51847/YYlqFBgHxk

Khan, A., Khan, M. I., Khan, S., Rehman, A. U., Ullah, N., Ur, A., Rehman, J. K., Ullah, S., Memon, B. M., Hamouda, D. G., et al. (2023). Evaluation of HBeAg and HBV viral load among general population of district Bannu, Khyber Pakhtunkhwa, Pakistan. Journal of Advanced Pharmacy Education & Research, 13(2), 59–63. doi:10.51847/zZieCqODBE

Kim, S., Choi, S., Lee, M. S., Kim, M., Park, M., Han, S., Han, S., Lee, H. S., & Lee, S. (2022a). Urinary profile of endogenous gamma-hydroxybutyric acid and its biomarker metabolites in healthy Korean females: determination of age-dependent and intra-individual variability and identification of metabolites correlated with gamma-hydroxybutyric acid. Frontiers in Pharmacology, 13, 853971. doi:10.3389/fphar.2022.853971

Kim, S., Lee, M. S., Kim, M., Ko, B. J., Lee, H. S., & Lee, S. (2022b). Derivatization-assisted LC-MS/MS method for simultaneous quantification of endogenous gamma-hydroxybutyric acid and its metabolic precursors and products in human urine. Analytica Chimica Acta, 1194, 339401. doi:10.1016/j.aca.2021.339401

Küting, T., Schneider, B., Heidbreder, A., Krämer, M., Jarsiah, P., Madea, B., & Hess, C. (2021). Detection of γ-hydroxybutyric acid-related acids in blood plasma and urine: extending the detection window of an exogenous γ-hydroxybutyric acid intake? Drug Testing and Analysis, 13(9), 1635–1649. doi:10.1002/dta.3097

Kwatra, N. V., & Morris, M. E. (2021). Toxicokinetic/toxicodynamic interaction studies in rats between the drugs of abuse γ-hydroxybutyric acid and ketamine and treatment strategies for overdose. Pharmaceutics, 13(5), 741. doi:10.3390/pharmaceutics13050741

Lara-López, A., Gonzalez-Imaz, K., Rodríguez-Hidalgo, M., Sarasola-Gastesi, M., Escudero-Arrarás, L., Milla-Navarro, S., de la Villa, P., Sagartzazu-Aizpurua, M., Miranda, J. I., Aizpurua, J. M., de Munain, A. L., Vallejo-Illarramendi, A., & Ruiz-Ederra, J. (2025). Topical administration of novel FKBP12 ligand MP-004 improves retinal function and structure in retinitis pigmentosa models. Investigative Ophthalmology & Visual Science, 66(3), 56. doi:10.1167/iovs.66.3.56

Lavie, C. J. (2022). Progress in cardiovascular diseases statistics 2022. Progress in Cardiovascular Diseases, 73, 94–95. doi:10.1016/j.pcad.2022.08.005

Logge, W. B., Morley, K. C., & Haber, P. S. (2022). GABAB receptors and alcohol use disorders: clinical studies. Current Topics in Behavioral Neurosciences, 52, 195–212. doi:10.1007/7854_2020_182

Marabello, D., Canepa, C., Cioci, A., & Benzi, P. (2024). Beta-hydroxybutyric acid as a template for the X-ray powder diffraction analysis of gamma-hydroxybutyric acid. Molecules, 29(19), 4678. doi:10.3390/molecules29194678

Narayanan, D., Larsen, A. S. G., Gauger, S. J., Adafia, R., Hammershøi, R. B., Hamborg, L., Bruus-Jensen, J., Griem-Krey, N., Gee, C. L., Frølund, B., et al. (2024). Ligand-induced CaMKIIα hub Trp403 flip, hub domain stacking, and modulation of kinase activity. Protein Science, 33(10), e5152. doi:10.1002/pro.5152

Pelevin, S. I., Taubaev, B. D., & Baklanov, I. S. (2018). Problem of technogenic society dynamics under the conditions of contemporaneity. International Journal of Civil Engineering and Technology, 9(11), 2437–2443.

Pontell, M. E., Barrero, C. E., Wagner, C. S., Salinero, L. K., Swanson, J. W., Taylor, J. A., & Bartlett, S. P. (2023). Oxycephaly—Systematic review, case presentation, and diagnostic clarification. Child’s Nervous System, 39(11), 3041–3049. doi:10.1007/s00381-023-06048-2

Rodriguez-Cruz, V., & Morris, M. E. (2021). γ-Hydroxybutyric acid-ethanol drug-drug interaction: reversal of toxicity with monocarboxylate transporter 1 inhibitors. Journal of Pharmacology and Experimental Therapeutics, 378(1), 42–50. doi:10.1124/jpet.121.000566

Rodriguez-Cruz, V., Ren, T., & Morris, M. E. (2021). Drug-drug interaction between diclofenac and gamma-hydroxybutyric acid. Biopharmaceutics & Drug Disposition, 42(8), 351–358. doi:10.1002/bdd.2296

Rodríguez-Nuévalos, S., Parra, M., Gil, S., Gaviña, P., Arroyo, P., Sáez, J. A., & Costero, A. M. (2021). Heteroditopic chemosensor to detect γ-hydroxybutyric acid (GHB) in soft drinks and alcoholic beverages. Analyst, 146(18), 5601–5609. doi:10.1039/d1an01084k

Röell, A. E., Ramnarain, D., & Kamal, R. (2021). Successful treatment of severe gamma-hydroxybutyric acid withdrawal syndrome with dantrolene. Cureus, 13(7), e16398. doi:10.7759/cureus.16398

Saravanakumar, V., Masi, C., Neme, I., Arjun, K., & Dinakarkumar, Y. (2022). Geographical comparison of phytoconstituents in Euphorbia hirta: a pilot study in Ethiopia and India. Bulletin of Pioneer Research in Medical and Clinical Sciences, 1(2), 34–41. doi:10.51847/ErNYBrhrFF

Savva, G., Papastavrou, E., Charalambous, A., Vryonides, S., & Merkouris, A. (2023). Studying the nurses’ and nursing students’ attitudes towards the phenomenon of elderly. Journal of Integrated Nursing & Palliative Care, 4, 6–10. doi:10.51847/DkBR8F3IGx

Singar, F. A. W. (2024). Characterization of defatted cake prepared from Egyptian olive’s fruit (Wateeken cultivar) and its biological activity. World Journal of Environmental Biosciences, 13(2), 31–35. doi:10.51847/R7K4g1FOdt

Soman, C., Hawzah, A. A. A. A., Alsomali, M. A., Alghamdi, S. A. K., & AlOsaimi, M. M. (2024). Salivary specimen in COVID-19 testing for dental settings: a meta-analysis comparing saliva, nasopharyngeal and serum specimens. Annals of Dental Specialty, 12(1), 33–47. doi:10.51847/LNn8bSwowj

Steuer, C., Quattrini, D., Raeber, J., Waser, P., & Steuer, A. E. (2022). Easy and convenient millimole-scale synthesis of new, potential biomarkers for gamma-hydroxybutyric acid (GHB) intake: feasible for analytical laboratories. Drug Testing and Analysis, 14(8), 1460–1470. doi:10.1002/dta.3273

Thazha, S. K., Cruz, J. P., Alquwez, N., Scaria, B., Rengan, S. S., & Almazan, J. U. (2023). Studying the attitude and knowledge of nursing students towards the physical restraint use in patients. Journal of Integrated Nursing & Palliative Care, 4, 1–5. doi:10.51847/cFz2ew4AK8

Useinovic, N., & Jevtovic-Todorovic, V. (2022). Novel anesthetics in pediatric practice: Is it time? Current Opinion in Anaesthesiology, 35(4), 425–435. doi:10.1097/ACO.0000000000001156

Walker, J. W., & Cios, T. J. (2021). Anesthetic considerations for a novel method of surgical ventricular remodeling using the BioVentrix Revivent TC system. Journal of Cardiothoracic and Vascular Anesthesia, 35(7), 2194–2200. doi:10.1053/j.jvca.2021.02.003

Yahyaeva, A. H., Aslanovna, M. M., Yariyeva, K. A., Pogosov, A. O., Ilyasova, N. A., & Kokova, D. R. (2023). Study of blood-ocular barrier permeability by fluoroquinolone group drugs. Journal of Advanced Pharmacy Education & Research, 13(2), 35–42. doi:10.51847/TkUByTPhAq

 

 

 


How to cite this article
Vancouver
Bytdaeva RM, Kipkeeva AA, Tramova DM, Bogatyreva RM, Tieva MM, Lakashiya SZ, et al. Exploring the Anesthetic Potential of γ-Hydroxybutyric Acid Derivatives: Synthesis and Biological Evaluation of New Local Anesthetics. J Biochem Technol. 2025;16(2):25-32. https://doi.org/10.51847/WJkSXrI5qW
APA
Bytdaeva, R. M., Kipkeeva, A. A., Tramova, D. M., Bogatyreva, R. M., Tieva, M. M., Lakashiya, S. Z., Abdrakhmanova, R. S., & Shikhalieva, D. M. (2025). Exploring the Anesthetic Potential of γ-Hydroxybutyric Acid Derivatives: Synthesis and Biological Evaluation of New Local Anesthetics. Journal of Biochemical Technology, 16(2), 25-32. https://doi.org/10.51847/WJkSXrI5qW
Articles
Issue 1 Volume 17 - 2026