2025 Volume 16 Issue 3
Creative Commons License

Development of Chalcone-Aspirin Conjugates: A Novel Approach for Antimicrobial Potential


, , , , , , ,
  1. Kamla Nehru College of Pharmacy, Nagpur-441108, Maharashtra, India
  2. Dadasaheb Balpande College of Pharmacy, Nagpur-440027, Maharashtra, India
  3. Sumandeep Vidyapeeth Deemed to be University, Vadodara-391760, Gujarat, India.
Abstract

Traditional antibiotics are often restricted by resistance, adverse effects, and diminishing potency. Hybrid drug design, which combines two pharmacophores in a single molecule, offers a new alternative. Chalcones, flavonoid derivatives possessing α, β- unsaturated carbonyl system, exhibit antibacterial, anti-inflammatory, and antidiabetic properties. The Claisen-Schmidt condensation is used to synthesize the chalcones, which are then conjugated with aspirin fragments by esterification or amidation reactions. Spectroscopic methods including mass spectrometry, NMR, and infrared spectroscopy are used for structural analysis. The cup plate approach was used to assess the generated compounds' antibacterial activity against E. coli. Antimicrobial activity was determined using molecular docking experiments utilizing PyRx software. Using spectroscopic investigation, including IR, NMR, and mass spectroscopy, as well as preliminary testing, the chalcone-aspirin conjugate was produced and examined. Compound 17 was evaluated for antibacterial effectiveness using the cup plate method and showed a binding affinity of -7.7 kcal/mol against a microbial target by molecular docking. The synthesized chalcone-aspirin conjugates showed promising antibacterial activity, as evidenced by spectroscopic analysis and biological assessment. This work demonstrates the possibility of hybrid drug design for the development of innovative treatment medicines against resistant illnesses.


Keywords: Synthesis, Molecular docking, Aspirin, Chalcone, Derivatives, Antimicrobial

Introduction

Rummage for new therapeutic agents with improved effectiveness and multifunctional qualities has been fueled by the rising incidence of metabolic diseases including diabetes and antibiotic resistance. Traditional antibiotics frequently have problems, such as decreased efficacy, drug resistance, and unfavorable side effects. This has brought attention to the necessity for creative methods in drug development. The synthesis of hybrid molecules, which integrate numerous pharmacophores into a single structure to boost potency and selectivity, is one potential method.  

The varied pharmacological effects of chalcones, a subclass of flavonoids with a β-unsaturated ketone component, have garnered a lot of attention. These substances have strong antidiabetic, antioxidant, antibacterial, and anti-inflammatory effects. By interfering with microbial cell membranes and enzymatic processes, they can prevent the development of bacteria. The well-known non-steroidal anti-inflammatory drug (NSAID) aspirin (acetylsalicylic acid) is widely utilized due to its anti-inflammatory properties (Nordin et al., 2020; Bandi et al., 2024; Belfiore et al., 2024; Sheshadri et al., 2024; Uneno et al., 2024).  

Chalcone-aspirin conjugates hybrid molecules that combine the advantageous effects of both drugs within a single framework have been investigated as a way to improve the therapeutic potential of both chalcones and aspirin. This logical approach to medication design seeks to overcome the drawbacks of individual pharmacological regimens while achieving synergistic antibacterial action (Aloufi et al., 2022; Zhang et al., 2025).  The main aims of this project are to create, study, and test chalcone-aspirin conjugates as possible drugs that work in. Changes are made to the basic pharmacophores to make them more stable and better at targeting specific biological sites (Beibalaeva et al., 2022; Osipchuk et al., 2022; Col & Tunc, 2024). A panel of bacterial pathogens is used to assess these conjugates' antibacterial activity. Computational molecular docking studies also shed light on how they bind to targets of metabolic enzymes and microorganisms. Through the creation of these chalcone-aspirin hybrids, research advances the design of hybrid drugs and provides fresh approaches to treating metabolic and infectious illnesses (Mei & Jiang, 2022; Samaranayake et al., 2024; Ali et al., 2025).  In order to meet the pressing demand for safer and more efficient antimicrobial treatments, the results of this study may open the door for future clinical uses (Rammohan et al., 2020; Alharbi et al., 2022; Chidambaranathan & Culathur, 2022; Patatou et al., 2022; You et al., 2023; Menhadji et al., 2024; Pavlova, 2024).

Materials and Methods

All reagents were commercially available, such as Sigma Aldrich, Fine Chem Lab, and Loba Chem, and were used with distillation purified solvents. Thin Layer Chromatography was used to monitor the reactions' development, using butanol and toluene as the mobile phases. The melting point was determined with an open capillary. The chemical was purified using the recrystallization technique. Spectral analysis methods such as FTIR, 1H-NMR, 13C-NMR, and mass spectroscopy were employed to characterize and identify the synthesized chemical (Dhanasekar et al., 2022; Saravanakumar et al., 2022; Ekpo et al., 2023; Eteng et al., 2023; El-Atawy et al., 2024). Virtual screening was carried out utilizing Autodock vina software. The cup plate method was used to conduct an antimicrobial research.

Experimental Procedure

Molecular Docking Study

Twenty aspirin-chalcone conjugates were prepared with help of chemsketch software. The Protein Data Bank provided the target protein crystal structure of E. coli PDB ID: 1KZN (DNA gyrase), whereas the PubChem database provided the standard ampicillin. To predict the binding relationship and score between the protein and ligand, a molecular simulation was conducted using AutoDock Vina in PyRx virtual screening, an open-source docking application. The protein-ligand docking process has been managed by Vina Wizard (Welday et al., 2021; Arios-Caro et al., 2022; Rudayni et al., 2022). The grid's size can be changed based on the active site residues that are chosen for docking; moreover, AutoDock Vina is operated. Software called Discovery Studio Visualizer was utilized to examine the target-ligand interaction.

Synthesis of Hydroxy Chalcone

Mix the 4-hydroxy Benzaldehyde and Acetophenone in an appropriate solvent (such as ethanol). At room temperature or a little higher, whisk the mixture after adding a few drops of base (NaOH). Once the reaction hydroxy chalcone is complete, neutralize the mixture with dilute acid (HCl) to precipitate the chalcone (Basappa et al., 2021). Filter and purify the resulting chalcone compound.

Synthesis of Aspirin

Put two grams of salicylic acid in a dry conical flask. 5 mL of acetic anhydride should be added. To catalyze the process, add three to four drops of concentrated sulfuric acid (H₂SO₄). To combine the solution, gently swirl. Utilize vacuum filtration to filter the precipitate. Use cold water to rinse the solid to get rid of any remaining acetic acid. Dissolve the crude aspirin in warm ethanol or a small amount of hot water. Cool the solution to recrystallize pure aspirin. Filter and dry the purified aspirin crystals (Salehi et al., 2021).

Development Aspirin-Chalcone Conjugate

In a dry reaction flask, dissolve aspirin in dry DCM or THF under a cold atmosphere. Add DCC (1.2 equivalents) to activate the carboxyl group of aspirin. To create the active ester intermediate, stir the reaction for 30 minutes at 0°C.  Chalcone should be dissolved in dry DCM in a different flask. To speed up the reaction, add a little quantity of DMAP and a few drops of TEA.  While stirring, add the chalcone solution to the activated aspirin solution.  For eight to twelve hours, let the reaction continue at room temperature while stirring constantly.  After finishing, filter out (Lu et al., 2018, Lodhi, 2021).

Identification and Characterization of Aspirin-Chalcone Conjugates

The aspirin-chalcone conjugate was successfully manufactured and studied using a variety of spectroscopic techniques, including mass spectrometry (MS), nuclear magnetic resonance (NMR) spectroscopy, and infrared (IR) spectroscopy.

Anti-Microbial Assay

The agar cup plate technique was used to assess antibacterial activity. Media such as nutrient broth culture are chosen for microbiological testing. To prevent aggregation, this broth was evenly distributed to petri dishes and then left to harden. Microbes were added to the broth and left at 25°C for 24 hours. Chalcone-aspirin conjugate was then diluted to 10 ug/ml, 20 ug/ml, 30 ug/ml, and 40 ug/ml. Additionally, their zone of inhibition was noted (Ardiansah et al., 2019, Mohamed-Ezzat, 2024).

Molecular Dynamic Study

Molecular dynamics simulations of intricate receptor-ligand combinations are carried out using molecular dynamics models. The docked structure with the lowest docking energy underwent complex mobility and protein stability testing. Molecular dynamics simulations are available on the mods server (http://imods.chaconlab.org). By creating feasible transition paths between two homologous structures, iMODS makes it easier to examine such modes. The iMOD server determines the internal coordinates (NMA) of the protein and assesses its stability using normal mode analysis (Rani et al., 2019). Protein stability is demonstrated using elastic network models, B-factor values, eigenvalues, covariance matrices, and backbone deformation diagrams.

Results and Discussion

Docking Studies as PBP Interfere

For the produced compounds, Autodock Vina software was used to conduct molecular docking exploratory research. As a reference for penicillinase binding protein (PBP), which prevents the formation of bacterial cell walls, ampicillin was added. This investigation was conducted to determine the ligands' docking score with target protein 1KZN. The binding energies (kcal/mol) were presented in Table 1.

 

Table 1. Derivatives of Chalcone-Aspirin Conjugate

Compounds

Derivatives

Binding energies (kcal/mol)

1

-6.5

2

-6.7

3

-6.7

4

-6.3

5

-6.8

6

-6.7

7

-6.4

8

-6.3

9

-6.5

10

-6.7

11

-6.4

12

-6.5

13

-6.7

14

-6.8

15

-6.5

16

-5.9

17

-7.7

18

-6.0

19

(Standard: Ampicillin)

-7.9

 

 

Aspirin-Chalcone derivatives were prepared using Chemsketch software and evaluated for their binding affinity. Among the tested compounds, the Aspirin-conjugated chalcone derivative (Compound 17) exhibited the highest binding score of -6.9, for microbial target which is near to standard. Based on these findings, this derivative was selected for further synthesis and subsequently characterized. As depicted in Figure 1, the standard ampicillin and synthesized compound 17 has promptly fitted in to pocket of receptors. The manner of intraction of Compound 17 is near to same to standard. Therefore it concluded that compound 17 has prominent antimicrobial potential. Also, Compound 17 has huge crowded hydrogen bonding and hydrophobic bonding environment at the nucleus.

 

 

a)

b)

c)

d)

Figure 1. Interaction of Ampicilin and Conjugate Aspirin-Chalcone. a) Ampicillin with target protein, b) Aspirin-chalocone with target protein, c) Hydrogen surface of Aspirin-chalcone, d) Hydrophobic surface of Aspirin-chalcone.

 

 

Experimental Study

Chemistry

A Biotech electric melting point device was used to measure and refine the melting point. A Shimadzu FTIR was used to record the infrared spectra using potassium bromide (KBr) disks. An Advance Neo NMR spectrometer (Bruker, U.S.A.) was used to perform the ¹H NMR spectra studies at 500 MHz using tetramethylsilane (TMS) as the internal standard (IS) in deuterated dimethyl sulfoxide (DMSO). Parts per million (ppm) were used to report the chemical changes (δ). 13C NMR spectra were recorded using a Bruker 100 MHz NMR spectrophotometer located in Bruker, USA. In the Thermo Scientific MS model, the mass spectra were recorded using a Shimadzu Synapt EX mass spectrometer (Shimadzu, Japan) equipped with an ionization energy of 70 eV, a source temperature of 200°C, an accelerative voltage of 8 kV, and a Direct Probe Controller Inlet component to a Single Quadruple mass analyzer. All of the elemental analysis and spectrum measurements were carried out. The elemental analysis of synthesized compound 17 was good. TLC was used to verify the synthetic chemicals' purity (Nainu et al., 2025).

Chalcone-Aspirin Conjugate

The synthesized Compound 17 was yellowish solid phenolic odor compound having soluble in organic solvent like Ethanol, Methanol and Chloroform; yield 95%; m.p. 1180-1200 C, Rf value – 0.75 (n- hexane and chloroform 1:1) IR(KBr) O-H, stretching (3323 cm⁻¹), C=O overtone (1741 cm⁻¹), and aromatic C=C stretching (1652 cm⁻¹ and 1449 cm-1), Additional bended C-O (1271 cm⁻¹ and 1217 cm-1), 1H-NMR (DMSO, ppm) CHO 9.77, Ar-H 7.0-8.0, OH, CH 3.82, CH2 1.3-2.0, CH3 0.86; 13C-NMR (DMSO-d6, 100MHz) CO 190.74, Ar-C 172.69-148.23, CH3 132.00-106.64, EI-MS: Molecular formula: Em (Es, Positive mode) m/z (386.9728): Anal, Calc for (C23H16O5): C, 74.22; H, 6.47; O, 19.87 Found: C, 74.64; H, 6.48; N, 20.90. Figure 2 depicted the spectrum of synthesized hydroxy chalcone-aspirin conjugate FTIR, 1H-NMR, 13C-NMR and Mass spectrum.

 

 

a)

b)

c)

d)

Figure 2. Spectrum of synthesized hydroxy chalcone-aspirin conjugate A: FTIR B: 1H-NMR C: 13C-NMR D: Mass spectra

 

 

Structural Elucidation

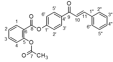
The IR spectrum indicates the presence of functional groups such as O-H (3323 cm⁻¹), C=O (1741 cm⁻¹), and aromatic C=C (1652 cm⁻¹ and 1449 cm-1) stretches, suggesting a carboxylic acid or aromatic ketone. Additional C-O (1271 cm⁻¹ and 1217 cm-1) and fingerprint region peaks confirms functional groups (Zhang et al., 2024).. At 1H-NMR contains number of hydrogen atoms in the conjugate is 16, positioned at various locations in the molecular structure, specifically at 1, 2, 3, 4, 2’, 3’, 4’, 5’, 6’, 2’’, 3’’, 4’’, 5’’, 6’’, 7, and 12. Here, Total 23 carbon are present. The 13C NMR spectrum suggests the presence of carbonyl (C=O) groups with a downfield peak at ~190.74 ppm, indicating an aldehyde, ketone, or carboxyl group. Aromatic and conjugated carbons (172.69 - 148.23 ppm) suggest a benzene or heterocyclic system. Aliphatic carbons (~39.92 - 38.57 ppm, 21.73 ppm) indicate alkyl chains or functionalized groups, supporting a complex aromatic-aliphatic framework. The position of carbon atom is Aromatic Carbon at 1,2,3,4,5,6,1’,2’,3’,4’,5’,6’,1’’,2’’,3’’,4’’,5’’,6’’, Aliphatic Carbon at 11, 12 and Carbonyl Carbon at 7,8,9. The results obtained from FT-IR, 1H-NMR, 13C-NMR and Mass spectroscopy, it is observed that the present structure is synthesized using hydroxy substituted chalcone and final structure is Aspirin-Chalcone Conjugate having Molecular Formula C23H16O5 and Molecular weight is 372.37 g/mol. Identified structure by FTIR, NMR, and Mass Spectroscopy showed in Figure 3.

 

Figure 3. Identified structure by FTIR, NMR, and Mass Spectroscopy

 

Antimicrobial Activity of Synthesized Compound

a)

b)

Figure 4. Zone of inhibition Cup Plate method, a) Concentration of compound 20 ug/ml, 40 ug/ml 60 ug/ml, b) Concentration of compound 80 ug/ml, 100 ug/ml, Standard (20 ug/ml)

 

As the concentration increases from 20 to 100 µg/ml, the zone of inhibition also increases, showing a dose-dependent antimicrobial effect. The standard ampicillin (20 µg/ml) has the largest inhibition zone. The zone of inhibition depicted in Figure 4.

Molecular Dynamics (MD) Study

A significant and potent in silico method for elucidating the function of biological activity, macromolecular properties, and the dynamic nature of proteins at various periods is molecular dynamics simulation. MD is carried out to promote the target receptor's long-term molecular binding and interactions with ligands. Figure 5 shows the three-dimensional interaction between the PBP enzyme and compound 17 inhibitor and Figure 5 depicted deformability graph demonstrates that flexible hinge regions exhibit the highest deformability. The NMA B-factor describes the relative amplitude and mobility profiles of atomic displacements around the equilibrium conformation, as seen in Figure 5.

 

a)

b)

c)

d)

Figure 5. Molecular fluctuation plot of Compound 17 indicated by NMA.

 

Structure Activity Relationship (SAR) of Aspirin-Chalcone Conjugate

The synthesized Aspirin-chalcone conjugates has antimicrobial properties with their core structure. The SAR of synthesized compound Aspirin-chalcone conjugates are as follows:

  1. Aspirin's efficacy against strains of both Gram-positive and Gram-negative bacteria is determined by its interaction with the chalcone scaffold.
  2. Compound 17, which has a propanone linkage in its chalcone nucleus, has demonstrated remarkable effectiveness against Gram-negative bacteria. .
  3. Additionally, compound 17 has rich with hydrogen and a hydrophobic environment showed encouraging action against gram-positive bacteria.
  4. Compound 17 linked to the aspirin nucleus by the -COCH₃ group at the phenyl ring had excellent and encouraging antibacterial activity.

Conclusion

The study successfully synthesized and characterized chalcone-aspirin conjugates, demonstrating their potential as novel antimicrobial potential. Structural confirmation was achieved through IR, NMR, and mass spectrometry. In-silico molecular docking and MD simulation studies showed strong binding affinities, suggesting significant biological activity. Antimicrobial efficacy was confirmed using the cup plate method against E. coli. The combination of chalcone and aspirin pharmacophores presents a promising hybrid drug design approach for antimicrobial potential.

Acknowledgments: The authors are thankful to Management and Dr. Jagdish Baheti, Principal, Kamla Nehru College of Pharmacy, Nagpur for giving moral supports throughout the work.

Conflict of interest: None

Financial support: None

Ethics statement: None

References

Alharbi, I. S., Alharbi, A. S., & Ansari, S. H. (2022). Public awareness and perceptions of orthodontic treatment with Invisalign in Qassim, Saudi Arabia. Turkish Journal of Public Health Dentistry, 2(1), 13–18. doi:10.51847/DrpPRdrDrf

Ali, S. N., Yadav, C. S., Khan, M. A., Kamal, A., Khan, A. R., Azad, I., Sheikh, S. Y., & Hassan, F. (2025). Synthesis of dioxolylethan-1-one-containing isatin-based chalcone derivatives and their antibacterial activity. American Journal of Psychiatric Rehabilitation, 28(1), 346–359.

Aloufi, F. A., Taleb, M. A., Halawani, R. F., Tammar, A., Mahmood, S., & Rahaman, K. R. (2022). Medical emergency preparedness among dental students: a study from King Abdulaziz University. Annals Journal of Dental and Medical Assisting, 2(2), 14–18. doi:10.51847/jSPCJqmQwe

Ardiansah, B. (2019). Chalcones bearing N, O, and S-heterocycles: Recent notes on their biological significances. Journal of Applied Pharmaceutical Science, 9(8), 117–129.

Arios-Caro, L., López-Martínez, V., Alia-Tejacal, I., Guillén-Sánchez, D., Juárez-López, P., & O, N. B. P. L. (2022). Food attractants and trapping methods for monitoring Drosophila suzukii and Zapronius indianus (Drosophilidae) in fig orchards. Entomology Letters, 2(2), 1–9. doi:10.51847/C3WurKnYg5

Bandi, V., Dey, S. K., & Rao, O. (2024). Factors influencing the physician prescribing behaviour of medicines in developed and developing countries: a systematic review. Journal of Integrative Nursing and Palliative Care, 5, 21–34. doi:10.51847/ZS3boQgksO

Basappa, V. C., Ramaiah, S., Penubolu, S., & Kariyappa, A. K. (2021). Recent developments on the synthetic and biological applications of chalcones—a review. Biointerface Research in Applied Chemistry, 12, 180–195.

Beibalaeva, S. N., Magomedova, A. T., Kuramagomedova, A. G., Gadzhimagomedov, M. M., Belyaeva, V. A., Rahimova, A. N., & Bondarenko, N. G. (2022). Properties of biologically active compounds and medicinal applications of Ulomoides dermestoides beetles. International Journal of Veterinary Research and Allied Sciences, 2(1), 9–14. doi:10.51847/ObPD69eRD4

Belfiore, C. I., Galofaro, V., Cotroneo, D., Lopis, A., Tringali, I., Denaro, V., & Casu, M. (2024). Studying the effect of mindfulness, dissociative experiences, and feelings of loneliness in predicting the tendency to use substances in nurses. Journal of Integrative Nursing and Palliative Care, 5, 1–7. doi:10.51847/LASijYayRi

Chidambaranathan, A. S., & Culathur, T. (2022). Acupuncture for temporomandibular joint muscular disorder: a prospective clinical assessment of its therapeutic effectiveness. International Journal of Dental Research and Allied Sciences, 2(2), 10–15. doi:10.51847/7MWBiwx7jQ

Col, O. F., & Tunc, T. (2024). Synthesis, and in-vitro biological evaluation of chalcone derivatives as antimicrobial agents. Bioorganic & Medicinal Chemistry Reports, 7(2).

Dhanasekar, P., Rajayyan, J. S., Veerabadiran, Y., Kumar, K. S., Kumar, K. S., & Chinnadurai, N. (2022). Evaluation of alum and purification process of water by coagulation method. Bulletin of Pioneering Researches of Medical and Clinical Science, 1(2), 1–6. doi:10.51847/R8GyfOmMDh

Ekpo, G. I., Victor, S. E., Eteng, O. E., Ebena, R., Ofonime, N., Umoh, E. U., Uduak, O. L., Ufot, S., & Eyong, U. (2023). Synergistic action of hesperidin and quercetin modulate the efficacy of CCl4-induced nephrotoxicity in rat model. Bulletin of Pioneering Researches of Medical and Clinical Science, 2(1), 49–57. doi:10.51847/EYAT8W7hWt

El-Atawy, M. A., Hanna, D. H., Bashal, A. H., Ahmed, H. A., Alshammari, E. M., Hamed, E. A., Aljohani, A. R., & Omar, A. Z. (2024). Synthesis, characterization, antioxidant, and anticancer activity against colon cancer cells of some cinnamaldehyde-based chalcone derivatives. Biomolecules, 14(2), 216.

Eteng, O. E., Bassey, N., Eteng, E. I., Okwe, E. P., Ekpo, G., Ekam, V., & Ubana, E. (2023). Effect of vanillic acid and morin on bisphenol S and diethyl phthalate induce-nephrotoxicity in male rats. Bulletin of Pioneering Researches of Medical and Clinical Science, 2(1), 25–34. doi:10.51847/JipHmYy6fi

Lodhi, G. N., Pradesh, M., & Nayak, A. (2021). Chemical and pharmacological evolution of some synthesized chalcones and heterocyclic compounds. International Journal of Advance Research, Ideas and Innovations in Technology, 7(3), 2130–2172.

Lu, S., Obianom, O. N., & Ai, Y. (2018). Novel hybrids derived from aspirin and chalcones potently suppress colorectal cancer in vitro and in vivo. MedChemComm, 9(10), 1722–1732.

Mei, L., & Jiang, L. (2022). Factors influencing post-treatment relapse in diastema closure. Asian Journal of Periodontics and Orthodontics, 2, 51–55. doi:10.51847/5BKHDdH8UU

Menhadji, P., Patel, R., Asimakopoulou, K., Quinn, B., Khoshkhounejad, G., Pasha, P., Sanchez, R. G., Ide, M., Kalsi, P., & Nibali, L. (2024). The influence of teledentistry on patient satisfaction and treatment results in Saudi Arabia during the COVID-19 pandemic. Turkish Journal of Public Health Dentistry, 4(1), 36–43. doi:10.51847/elHXU4OUAa

Mohamed-Ezzat, R. A., & Srour, A. M. (2024). Design and synthesis of aspirin-chalcone mimic conjugates as potential anticancer agents. Anti-Cancer Agents in Medicinal Chemistry, 24(7), 544–557.

Nainu, F., Bahar, M. A., Habibie, H., Yusuf, Y., Sartini, S., Mudjahid, M., Latada, N. P., Bijaksana, G. F., Pratama, A. S., Permatasari, J. A., et al. (2025). In vivo evidence of metformin and aspirin antibacterial activity against Staphylococcus aureus in Drosophila infection model. Beni-Suef University Journal of Basic and Applied Sciences, 14(1), 64.

Nordin, N. A., Ibrahim, A. R., & Ngaini, Z. (2020). Biological studies of novel aspirin-chalcone derivatives bearing variable substituents. Journal of Agrobiotechnology, 11(1), 20–31.

Osipchuk, G., Povetkin, S., Shpak, T., Verevkina, M., Bondarenko, N., & Kravchenko, N. (2022). Utilization of biologically active compounds from plant materials in specific physiological states of cows. International Journal of Veterinary Research and Allied Sciences, 2(2), 21–26. doi:10.51847/wNzvM95prz

Patatou, A., Iacovou, N., Zaxaria, P., Vasoglou, M., & Vasoglou, G. (2022). Corticotomy-assisted orthodontics: biological basis and clinical applications. Annals of Orthodontics and Periodontics Specialty, 2, 8–13. doi:10.51847/0qGERVSoQm

Pavlova, Z. (2024). Material properties and clinical performance of 3D-printed complete dentures: a systematic review. Annals of Orthodontics and Periodontics Specialty, 4, 14–25. doi:10.51847/62izsGtXh4

Rammohan, A., Bhaskar, B. V., Venkateswarlu, N., Gu, W., & Zyryanov, G. V. (2020). Design, synthesis, docking and biological evaluation of chalcones as promising antidiabetic agents. Bioorganic Chemistry, 95, 103527.

Rani, A., Anand, A., Kumar, K., & Kumar, V. (2019). Recent developments in biological aspects of chalcones: the odyssey continues. Expert Opinion on Drug Discovery, 14(3), 249–288.

Rudayni, H. A., Basher, N. S., Al-Keridis, L. A., Ibrahim, N. A., & Abdelmageed, E. (2022). Exploring the effectiveness of Ocimum basilicum extracts in mosquito larvae management. Entomology Letters, 2(1), 12–18. doi:10.51847/upImR4jWMM

Salehi, B., Quispe, C., Chamkhi, I., El Omari, N., Balahbib, A., Sharifi-Rad, J., Bouyahya, A., Akram, M., Iqbal, M., Docea, A. O., et al. (2021). Pharmacological properties of chalcones: a review of preclinical including molecular mechanisms and clinical evidence. Frontiers in Pharmacology, 11, 592654.

Samaranayake, L., Tuygunov, N., Schwendicke, F., Osathanon, T., Khurshid, Z., Boymuradov, S. A., & Cahyanto, A. (2024). Artificial intelligence in prosthodontics: transforming diagnosis and treatment planning. Asian Journal of Periodontics and Orthodontics, 4, 9–18. doi:10.51847/nNyZ6VD1da

Saravanakumar, V., Masi, C., Neme, I., Arjun, K., & Dinakarkumar, Y. (2022). Geographical comparison of phytoconstituents in Euphorbia hirta: a pilot study in Ethiopia and India. Bulletin of Pioneering Researches of Medical and Clinical Science, 1(2), 34–41. doi:10.51847/ErNYBrhrFF

Sheshadri, A., Kittiskulnam, P., & Johansen, K. L. (2024). Investigating the effects of physical activity on the amount of muscle cramp pain in hemodialysis patients. Journal of Integrative Nursing and Palliative Care, 5, 8–13. doi:10.51847/wZhaI3rJNj

Uneno, Y., Morita, T., Watanabe, Y., Okamoto, S., Kawashima, N., & Muto, M. (2024). Supportive care requirements of elderly patients with cancer refer to Seirei Mikatahara General Hospital in 2023. Journal of Integrative Nursing and Palliative Care, 5, 42–47. doi:10.51847/lmadKZ2u1J

Welday Kahssay, S., Hailu, G. S., & Taye Desta, K. (2021). Design, synthesis, characterization and in vivo antidiabetic activity evaluation of some chalcone derivatives. Drug Design, Development and Therapy, 3119–3129.

You, J., Chen, Y., Hsieh, C., Chen, S., Lin, T., Shih, J., Chen, G., Feng, S., Peng, T., Wu, C., et al. (2023). Investigating the clinical presentation of oral submucous fibrosis: patterns and progression. International Journal of Dental Research and Allied Sciences, 3(2), 9–15. doi:10.51847/SUcIWT7rTw

Zhang, N., Li, X., Liu, X., Cheng, P., Li, L., Chai, Y., Cao, M., & Yang, Y. (2025). Aspirin enhances the antibacterial activity of colistin against multidrug-resistant Pseudomonas aeruginosa. European Journal of Pharmacology, 997, 177480.

Zhang, N., Zeng, W., Zhou, Q., Sun, Z., Meng, K., Qin, Y., Hu, Y., & Xue, W. (2024). Design, synthesis, antibacterial and antiviral evaluation of chalcone derivatives containing benzoxazole. Arabian Journal of Chemistry, 17(1), 105368.


How to cite this article
Vancouver
Kishor D, Vidhi R, Lokesh T, Disha D, Manish K, Chetan D, et al. Development of Chalcone-Aspirin Conjugates: A Novel Approach for Antimicrobial Potential. J Biochem Technol. 2025;16(3):71-81. https://doi.org/10.51847/azbEVcan0P
APA
Kishor, D., Vidhi, R., Lokesh, T., Disha, D., Manish, K., Chetan, D., Jagdish, B., & Aarti, Z. (2025). Development of Chalcone-Aspirin Conjugates: A Novel Approach for Antimicrobial Potential. Journal of Biochemical Technology, 16(3), 71-81. https://doi.org/10.51847/azbEVcan0P
Articles
Issue 4 Volume 16 - 2025