2023 Volume 14 Issue 2
Creative Commons License

Biopolymer from Marine Waste Biomass and Its Applications- A Review

 

Aluru Ranganadhareddy*

Department of Biotechnology, VFSTR Deemed to be University, Guntur, India 522213.

 

Chanda Chandrasekhar   

Department of Biotechnology, Koneru Lakshmaiah Education Foundation, Guntur, India522502.

 

 

 

 

 

 

 

 

 

*E-mail: [email protected]


Abstract

Plastics are a necessity that are usually made from non-renewable resources. Because synthetic plastics cannot biodegrade, their widespread manufacture and indiscriminate usage represent a severe danger to the environment and cause issues. Daily use of various plastics should be reduced, and their place should be taken by biodegradable alternatives. Biodegradable and environmentally friendly polymers are essential for addressing sustainability concerns or environmental problems brought on by the manufacture and disposal of synthetic plastics. Marine industries produce about 2–5 billion tonnes of waste annually, which negatively affects the environment. These polymers' superior mechanical characteristics, biostability, and biodegradability make them more palatable and environmentally benign than conventional plastics. The amount of waste produced is greatly decreased when synthetic plastic packaging is replaced with biodegradable polymers made from animal byproducts. The usage of waste biomass for bioplastics production, their structure, mechanical properties, and demand in industrial areas like biomedical, food packaging, 3D printing, 4D printing, cancer detection, drug Carriers, and application for post-surgical ulcers are some of the key points highlighted in this review.

Keywords: Biopolymer, Bioplastic, Plastic, 3D printing, 4D printing


Introduction

The two most well-known problems the world is currently facing are arguably global environmental changes and the depletion of natural resources (Sun et al., 2022). Due to the production of greenhouse gases from the burning of fossil fuels, including carbon dioxide (CO2), methane (CH4), nitrous oxide (N2O), and chlorofluorocarbons (CFCs), our climate is changing drastically (Van Roijen & Miller, 2022). Because synthetic plastics cannot degrade in the environment, excessive dependence on them and their use contributes to environmental degradation (Arif et al., 2023). Conventional plastics are a common material in daily life because of their many different qualities and physicochemical traits (Oran et al., 2023). Synthetic plastics are made from goods with a petroleum base and are a member of a broad family of polymers. Due to the non-biodegradable nature of synthetic plastics and their excessive use in our daily lives, serious climatic and health risks are created (Gao et al., 2022). Only 7% of the annual 34 million tonnes of plastics generated are recycled; the remaining 93% end up in landfills and the ocean (Thapsamut et al., 2023). Every year, 25.9 million tonnes of plastic trash are created in Europe, of which 40% are burned and 30% are recycled, creating new environmental problems (Thew et al., 2023).

In many poor nations, measurements, and approaches for managing plastic trash are comparatively unfamiliar. Municipalities don't have an effective system in place to handle their solid/plastic garbage. For instance, Pakistan produces more than 3.3 million tonnes of plastic garbage annually, most of which is dumped in poorly maintained landfills, land, or bodies of water all around the nation (Yuan et al., 2022). Concerns over plastic trash are spreading across the globe. Due to inadequate and underdeveloped mechanisms for managing plastic trash, pollution levels have increased. While landfills are scarce, waste management practices such as incineration result in the release of harmful gases and air pollution (Shafie et al., 2018). The demand for and interest in research towards replacing synthetic or fossil fuel-based polymers with biodegradable polymershas increased due to severe climate change, economic hardship, and difficulties with world health (Rajabloo et al., 2021).

Bioplastics have been around since the 1850s when a British researcher used cellulose from wood pulp to create polymers (Awogbemi & Von Kallon, 2022). Agro/food sources, such as starch, cellulose, protein, vegetable oils, lipids, bacteria, and algae, are used to make bioplastics, which are polymers that are made from natural and renewable basic materials. Bioplastics can be disposed of in the environment, where microbial activity quickly breaks them down (Chathalingath et al., 2023). Instead of ending up in landfills, fungi and bacteria can be used to break down the carbon atoms in the polymer chain to form organic material. The carbon cycle of polymers is depicted in Figure 1. Because they are renewable, biodegradable, compostable, and environmentally benign, there is an increasing demand for uses for bioplastics. In comparison to their synthetic equivalents made from petrochemicals, bioplastics emit lesser greenhouse gas which is biodegradable and less harmful to the environment (Dedieu et al., 2022).

Figure 1. The carbon cycle of bioplastics (Arif et al., 2023)

 

Bio-based or biodegradable raw materials are frequently used to make bioplastics (Singh et al., 2022). Bioplastics have various drawbacks despite being secure and environmentally benign, such as high production costs or subpar mechanical and barrier qualities (Kamali et al., 2022). To combat high production costs, low-cost resources like animal waste (insect exoskeletons) can be used to make bioplastics. Blends of two or more biopolymers are also being used to address issues with weak mechanical or barrier qualities (Arif et al., 2023). Biodegradable packaging and edible films have been created using organic bio-based raw materials from various renewable sources (Abuzinadah, 2023). These sources are sustainable and environmentally friendly because these wastes are widely accessible. These can be used to create useful by-products in addition to replacing petroleum-based polymers to safeguard the environment (Ossai et al., 2022). By combining keratin with other polymers or plasticizers to improve its physical and mechanical qualities, bioplastic film can be created (Oun et al., 2022). An interesting field of polymer research is the development of biodegradable or biobased polymers as an environmentally beneficial replacement for synthetic plastics.

Production of Polyhydroxyalkanoates by Bacteria

In addition to aerobic and anaerobicbacteria, several extremophilic archaea from a variety of habitats produce polyhydroxyalkanoates (PHAs) (Vázquez-Fernández et al., 2022). It has been scientifically proven that bacteria accumulate PHA molecules in the form of inclusions in their cytoplasm, which is also referred to as carbonosomes (Pei et al., 2023). Generally, organisms produce PHA in environments where carbon is abundant, but other nutrients (e.g., nitrogen, phosphorus) are in limiting amounts, helping the microbe to survive (González et al., 2023). According to researchers, Alcaligenes latus strain IAM 12664 T was able to produce PHA without facing any nutritional limitations (Mun et al., 2023). As the first member of the PHA family discovered in Bacillus megaterium, PHB was discovered by Lemoigne in 1926.They have since identified several bacterial strains that produce and accumulate PHB as a storage polymer, both aerobic and anaerobic. PHA has been discovered to be useful in numerous applications, including household, industrial, medical, and many more. Commercial production of PHA is possible when a cheap carbon source is present during microbial fermentation. There are only a few microorganisms that have been employed for these activities, such as Pseudomonas putida, recombinant Escherichia coli, Aeromonas caviae, and Ralstonia eutropha. PHAs are essentially hydroxy-alkanoate polyoxoesters, with the hydroxyl group usually being situated at the carbon atom of the monomers. Approximately 150 different monomers may now be combined to create PHA polymers. Only eight of these monomers, nevertheless, have been discovered to have a role in the production of various PHA polymers (Ranganadhareddy, 2023). The thermal and mechanical characteristics of PHA are significantly influenced by the side chain length of a monomer. PHB is an example of a homopolymer with short side chains that demonstrates stiffness and brittleness. However, a copolymer like PHBHHx that combines monomers with various chain lengths demonstrates flexibility and pliability. Many PHA family members, including scl-PHA, have mechanical and thermal characteristics similar to polymers derived from petroleum, such as polypropylene (Ranganadha et al., 2020). Additionally, several studies have demonstrated that PHA is biodegradable and is easily broken down by several bacteria. In addition to being biodegradable, PHA is also extremely biocompatible, as shown by the presence of PHA building blocks like 3-hydroxybutyrate (3HB) and related oligomers in both human and animal blood (Koch et al., 2023).

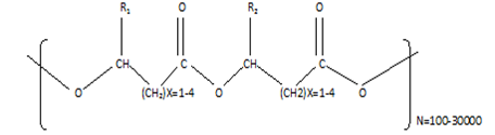
Bacteria make polyhydroxyalkanoates that have optical activity when there are abundant carbon sources available but few other essential nutrients. The carbon sources and microbial strains used in the fermentation process affect the PHAs' characteristics. PHAs can be utilized as substitutes for plastics made from petrochemicals since they share similar physicochemical characteristics. These polymers work well as packaging films, either by themselves or in mixtures with starch or synthetic plastics (Guha et al., 2022). The most prevalent PHA among more than 100 composites is polyhydroxy butyrate as shown in Figure 2, which resembles polypropylene and is created by the polymerization of a 3-hydroxybutyrate monomer. Industrial, biomedical, agricultural, and residential uses for it exist. When PHB degrades (in aerobic or anaerobic circumstances), carbon dioxide and water are produced. PHB is a viable choice for packaging bioplastic materials due to qualities like optical activity and insolubility in water and gas barriers.

 

 

Figure 2. Polyhydroxy butyrate structure (Ranganadhareddy, 2022)

 

Synthetic plastics have a detrimental effect on the environment and human health because of their unchecked and excessive use. Therefore, scientists are forced to switch to biopolymers in place of plastics derived from fossil fuels. Flexible biopolymer keratin is widely available as a byproduct of marine-based industries. They are essential in addressing environmental contamination because of their biodegradability, biocompatibility, and natural abundance. In the fields of agriculture, biomedicine, tissue engineering, cancer detection, food packaging industry, cosmetics,3D printing, 4D printing, wastewater treatment, and pharmaceuticals, these biopolymers could be very useful (Aljehany & Allily, 2022). Important proteins, polysaccharides, and byproducts from marine wastes must be recovered since they are essential for preserving the environment's balance and generating revenue. Biochemical and biological techniques are used to extract biopolymers from waste biomass, which is a difficult operation. To improve their chemical and biological properties and make them more adaptable for usage in other applications, these polymers are further modified by blending with other polymers or additives. Lower fabrication costs and greater efficiency are the two main factors to consider when investigating such polymers. However, these polymers have a bright future, if difficulties with controlling mechanical and physical properties can be resolved. Investigations are currently being conducted to improve polymer behavior and physicochemical properties with improved thermo-mechanical characteristics. These bio-based materials have demonstrated promising results in biotechnological applications such as anti-carcinogenic agents, drug delivery agents, biocatalysis, cosmetics, textiles, bioimaging, and bioplastic manufacturing.

Applications

Biomedical Applications

Its utility in the medical area is mostly attributable to the fact that it is biodegradable; as a result, it may be inserted into human bodies without necessarily needing to be expelled from them (Galatage et al., 2022). 3-hydroxy butyric acid is biocompatible since it is a byproduct of degradation and is often found in blood at concentrations between 0.3 and 1.3 mmol/l (Zhao et al., 2022). Implanted medical devices for dental, orthopedic, hernioplasty, and skin surgery were created using PHAs, either in their purest form or in mixes (Liu et al., 2023). Sutures, stents, adhesion barriers, healing patches, nerve guides, orthopedic pins, biodegradable screws, and bone marrow scaffolds are among the potential medical devices that have been created utilizing PHAs (Cakmak, 2023). PHB is a desirable choice for medical devices and tissue engineering due to its thermo-processability and non-toxicity (Kumar et al., 2023). The study demonstrated the value of substances like PHA in bone healing processes. PHA and hydroxyapatite (HA) function as a bioactive and biodegradable composite and are used in tissue regeneration and replacement procedures (Chellasamy et al., 2022).

Packaging Industry

It is estimated that 41% of plastics are used for packaging, and of that percentage, half is utilized for food packaging. They are suitable for use in diapers and their packaging because of their biodegradable nature (Abdel Khafar et al., 2022). In comparison to homopolymers, the short-chain length copolymer P (3HB-co-3HV) is less crystalline, more malleable, and more durable (Zhang & Rhim, 2022). PHAs are an attractive choice for usage in coatings and packaging because of these qualities. It is used to make traditional commodity plastics like shampoo bottles, cosmetic containers, and films. It also finds use in the packaging of items like golf tees and diapers for personal hygiene. It is also used to wrap cardboard and papers, make milk cartons and films, make pens, combs, and bullets, and produce bulk chemicals using depolymerized PHA (Alexandrovich et al., 2018).

3D Printing

A recently created technique for creating carefully constructed tissue engineering scaffolds is known as rapid prototyping (RP), often referred to as solid free-form manufacturing. In RP, morphological traits, chemical composition, and mechanical qualities are precisely controlled while a 3D building is built layer by layer using a computer-aided design model (Messina et al., 2023). Using an additive method, multiple layers of the material are placed down in various forms to achieve this. This method enables the creation of highly repeatable scaffolds, whose size and form may be altered to meet needs. For 3D printing, several additive techniques are available, including stereo lithography, selective laser sintering, and fused deposition modeling. Recent research shows the potential of the 3D bioprinting approach in creating biomimetic tissue scaffolds by inserting live cells and growth factors during the manufacture of hydrogel-type scaffolds (Awasthi et al., 2022). Cells and bioactive compounds can be encapsulated using a low-temperature technique, which is not achievable with procedures that rely on melting. Currently, biopolymer-based scaffolds for regenerative medicine are created via 3D bioprinting. Natural polymers provide advantages for 3D bioprinting, such as their resemblance to human ECM and innate bioactivity (Sangiorgi et al., 2019). The 3D system was identical to the in vivo environment and ECM, and the cells were localized into bio-printed constructions. However, this method has limited commercial use since it can only be utilized with a small number of biomaterials and biopolymers.

4D Printing

4D printing, which is based on 3D bioprinting, also enables some form modifications in reaction to environmental factors like moisture or temperature to acquire distinctive characteristics and increased usefulness (Filiz et al., 2021). Polymers can undergo simultaneous cell deposition, but the parameters of the process must be just right for the polymer to change shape without harming the additives. Materials often have strong cytocompatibility and memory effects. Some biopolymers, such as cellulose or lignin, can be produced and tailored to respond to moisture (Mahendiran et al., 2021). Keratin and lignin were mixed by Grigsby et al., (2020) to create 4D functional materials. Different ratios of protein and lignin were combined. Additionally, it was demonstrated that filaments could be made at temperatures beyond 130°C, but sadly, the bio-composite degraded throughout this process. The most effective method was to make hydrogel with 30–40% solids. The stimulation of printed materials with moisture demonstrated the biomaterial's ability to be utilized in 4D printing technology. Alginate and hyaluronic acid hydrogels were employed by Kirillova et al., (2017) and the stromal cells from the mouse bone marrow were used in the bioprinting process. Their findings demonstrated that cells remained alive for at least seven days and that the biomaterial was not harmed throughout the preparation stage. Hydrogels made of alginate and hyaluronic acid can be used to design and regenerate tissue.

Cancer Detection

Due to their higher cost, such as silicone, which is thought to cause cancer, several innovative materials are needed for diverse biological processes. On the other hand, PHAs; biocompatibility makes them a valuable substance for use in medicine (Ranganadha & Chandrasekhar, 2021). It interacts with the biological system as a biomaterial to guide medical therapy and trigger a suitable host response. PHA is a biomaterial with a wide variety of applications; it has been used in the engineering of several tissues, including bones, cartilage, nerves, skin, and tendons. PHB and PHVB are also often employed in several medical processes, including compression molding, extrusion, and injection. PHA polymers have also been used for pins, plates, and fracture repair devices (Reddy et al., 2015). In 2007, the FDA released updated information that suggested PHA uses in the biomedical field will continue. Sabarinathan et al., (2018) described the use of PHB for cancer diagnosis due to its inherently biocompatible properties. The study showed that whereas cancer cells adhered well to PHB sheets and were easily recognized using contact angle approaches, normal cells did not cling to P HB sheets with ease. To test its capacity to bind with cancer cells, the generated PHB was cast into films (Ranganadha et al., 2015). In comparison to biopsy, the use of PHB for cancer diagnosis is a quicker and painless procedure.

Application for Post-Surgical Ulcers and Drug Carriers

Chronic and acute skin wounds can be healed by wound dressing which is the most effective method. As a wound dressing, it must have several advantages including the ability to absorbexudates, biocompatibility, non-toxicity, maintain moisture, and antimicrobial properties (Ranganadha et al., 2015). Wound dressings have been made with electrospun nanofibers. Another important benefit that makes these nanofibrous matrices ideal for use in dressings for wound healing is their capacity for medication delivery. A lot of studies have been done on the biodegradable and biocompatible polymers used to make nanofibrous wound dressings (Ranganadha et al., 2021).  Due to its attributes, including its acceptable mechanical qualities, biocompatibility, and high elasticity, PHB is frequently employed for drug administration. Although its hydrophobicity and slow rate of disintegration restricted its uses. It is possible to get around these restrictions by blending PHB with chitosan. While polyvinylidene fluoride (PVDF) nanofibrous membrane was employed in another study as an antibacterial medication for wound dressing, PHB/chitosan nanofibrous was previously used in cartilage tissue engineering saw the publication of research on the use of PHB/chitosan nanofibrous membranes as postsurgical wound dressings. It was meant to be a successful new bilayer electrospun nanofibrous membrane. The PHB/chitosan layer mechanical strength was also increased by the inclusion of PVDF nanofibers. This dressing also improves the drug-loaded structures; sustained release of the medication.

Drug Carriers

The ability of pathogenic microorganisms to form biofilms limits the effectiveness of antibacterial therapy. Lysozyme was immobilized on electrospun sheets made from PHAcopolymers: P (3HB-30 mol% HHx), which prevented the biofilm development process (Ranganadhareddy, 2022). Biofilm development was 42% inhibited by membranes containing16.1 g of enzyme per 9.5 mm3 disc. Under comparable circumstances, solvent cast sheets might restrict growth by 30%. Thus, these sheets can be utilized to create wound dressings that treat pathogenic bacterial infections (Krishnaswamy & Pandian, 2022). Ellipticine, a naturally occurring plant alkaloid, was encapsulated in the range of 39%-45% by P(3HB-3HV,5-15mol%) nano-carriers made from PHAcopolymers, which were synthesized by B.cereus strains (Jagtap et al., 2021). High biocompatibility does not compromise the anti-cancer activity of these nanocarriers (Ranganadha et al., 2015). For the prolonged administration of anticancer medications, biodegradable polymeric nanoparticles were created as poly (4-hydroxybutyrate)-mPEG. Cisplatin-loaded nanocarriers boosted apoptosis inHT22 cells, suggesting a potential role in cancer treatment (Ranganadha et al., 2020).

Conclusion

To be sustainable, society and markets need to be informed about how bioplastics will be used in the future. How might biodegradability be improved Affordable and practical recycling facilities? Improvements in agricultural applications.

Future Scope

The potential for using more bioplastic materials can also be further investigated to improve community lifestyles and reduce recycling costs. This may open new horizons of applications in many fields, including agriculture, medicine, and many others. Biodegradable polymeric materials are the strongest rival to defeat petrochemical-based plastic in the future.

Acknowledgments: None

Conflict of interest: None

Financial support: None

Ethics statement: None

References

Abdel Khafar, E. A., Darwish, D. B., Al-Jahani, G. M., & Anean, H. E. A. (2022). Bacterial Nano-polymer Production to Produce Edible Coating and Films. International Journal of Pharmaceutical Research and Allied Sciences, 11(2), 13-23.

Abuzinadah, S. H. (2023). Home Bleaching Effect on the Surface Texture of Dental Cosmetic Biomaterial-An in Vitro Study. Annals of Dental Specialty11(1), 58-63.

Alexandrovich, S. O., Yurievna, V. S., Olegovich, P. I., Yurievna, K. N., Ilyinichna, V. L., & Pavlovna, Y. T. (2018). Provision of Microbiological Safety in The Food Industry Based on Special Technological Supporting Solutions. International Journal of Pharmaceutical Research & Allied Sciences, 7(1), 103-113.

Aljehany, B. M., & Allily, R. K. (2022). Impact of Covid-19 Quarantine on Life Style Changes, In the Western Saudi Arabia: A Cross-Sectional Study. Journal of Organizational Behavior Research, 7(1), 182-197.

Arif, A., Azeem, F., Rasul, I., Siddique, M. H., Zubair, M., Muneer, F., Zaheer, W., & Nadeem, H. (2023). Bioplastics from waste biomass of marine and poultry industries. Journal of Bioscienes, 48(2), 11. doi:10.1007/s12038-023-00332-8

Awasthi, M. K., Kumar, V., Yadav, V., Sarsaiya, S., Awasthi, S. K., Sindhu, R., Binod, P., Vinod, K., Ashok, P., & Zhang, Z. (2022). Current state of the art biotechnological strategies for conversion of watermelon wastes residues to biopolymers production: A review. Chemosphere, 290, 133310. doi:10.1016/j.chemosphere.2021.133310

Awogbemi, O., & Von Kallon, D. V. (2022). Achieving affordable and clean energy through conversion of waste plastic to liquid fuel. Journal of the Energy Institute, 106. doi:10.1016/j.joei.2022.101154

Cakmak, O. K. (2023). Biodegradable Polymers—a Review on Properties, Processing, and Degradation Mechanism. Circular Economy and Sustainability. doi:10.1007/s43615-023-00277-y

Chathalingath, N., Kingsly, J. S., & Gunasekar, A. (2023). Biosynthesis and biodegradation of poly(3-hydroxybutyrate) from Priestiaflexa; A promising mangrove halophyte towards the development of sustainable eco-friendly bioplastics. Microbiological Research, 267, 127270. doi:10.1016/j.micres.2022.127270

Chellasamy, G., Kiriyanthan, R. M., Maharajan, T., Radha, A., & Yun, K. (2022). Remediation of microplastics using bionanomaterials: A review. Environmental Research, 208, 112724. doi:10.1016/j.envres.2022.112724

Dedieu, I., Peyron, S., Gontard, N., & Aouf, C. (2022). The thermo-mechanical recyclability potential of biodegradable biopolyesters: Perspectives and limits for food packaging application. Polymer Testing, 111. doi:10.1016/j.polymertesting.2022.107620

Filiz, A. K., Joha, Z., & Yulak, F. (2021). Mechanism of anti-cancer effect of β-glucan on SH-SY5Y cell line. Bangladesh Journal of Pharmacology, 16(4), 122-128. doi:10.3329/bjp.v16i4.54872

Galatage, S. T., Trivedi, R., & Bhagwat, D. A. (2022). Oral self-emulsifying nanoemulsion systems for enhancing dissolution, bioavailability and anticancer effects of camptothecin. Journal of Drug Delivery Science and Technology, 78, 103929. doi:10.1016/j. jddst.2022.103929

Gao, R., Liu, R., & Sun, C. (2022). A marine fungus Alternaria alternata FB1 efficiently degrades polyethylene. Journal of Hazardous Materials, 431, 128617. doi:10.1016 /j.jhazmat.2022.128617

González, K., Salinas, A., & Pinto, F. (2023).  Flow cytometry: a tool for understanding the behaviour of polyhydroxyalkanoate accumulators. Applied Microbiology and Biotechnology, 107, 581-590. doi:10.1007/s00253-022-12318-x

Grigsby, W. J., Scott, S. M., Plowman-Holmes, M. I., Middlewood, P. G., & Kimberly, R. (2020). Combination and processing keratin with lignin as biocomposite materials for additive manufacturing technology. Acta Biomaterialia, 104, 95-103. doi:10.1016/j.actbio.2019.12.026

Guha, A., Bhalekar, M., Madgulkar, A., & Ingale, A. (2022). Pastillation with Amorphous Synthetic Polymers: A Key to Solubility Enhancement of Poorly Soluble Drugs. Pharmacophore13(6), 70-79.

Jagtap, R. A., Gundecha, S. D., Shelar, M., Gawade, V. S., & Patil, A. A. (2021). 2-Hydroxyl Methacrylate based Triblock Copolymers by Atom Transfer Radical Polymerization. International Journal of Pharmaceutical Research and Allied Sciences, 10(4), 121-130.

Kamali, S., Yavarmanesh, M., Najafi, M. B. H., & Koocheki, A. (2022). Poly (lactic acid) and whey protein/pullulan composite bilayer film containing phage A511 as an anti-Listerial packaging for chicken breast at refrigerated temperatures. LWT, 170. doi:10.1016/j.lwt.2022.114085

Kirillova, A., Maxson, R., Stoychev, G., Gomillion, C. T., & Ionov, L. (2017). 4D Biofabrication Using Shape-Morphing Hydrogels. Advanced Materials, 29(46), 1703443.  doi:10.1002/adma.201703443

Koch, M., Spierling, S., Venkatachalam, V., Hans-Josef, E., Mikołaj, O., Eldbjørg, B. V., Christina, D., Markus, N., & Ines, F. (2023). Comparative assessment of environmental impacts of 1st generation (corn feedstock) and 3rd generation (carbon dioxide feedstock) PHA production pathways using life cycle assessment. Science of The Total Environment, 863, 160991. doi:10.1016/j.scitotenv.2022.160991

Krishnaswamy, K., & Pandian, P. (2022). A Novel Carbon Quantum Dots and Its Applications in Drug Delivery System–A Review. Pharmacophore13(1), 62-71.

Kumar, V., Fox, B. G., & Takasuka, T. E. (2023). Consolidated bioprocessing of plant biomass to polyhydroxyalkanoate by co-culture of Streptomyces sp. SirexAA-E and Priestia megaterium. Bioresource Technology, 376, 28934. doi:10.1016/ j.biortech.2023.128934

Liu, F., Duan, G., & Yang, H. (2023). Recent advances in exploiting carrageenans as a versatile functional material for promising biomedical applications. International Journal of Biological Macromolecules, 235, 123787. doi:10.1016/j .ijbiomac.2023.123787

Mahendiran, B., Muthusamy, S., Sampath, S., Jaisankar, S. N., Popat, K. C., Selvakumar, R., & Krishnakumar, G. S. (2021). Recent trends in natural polysaccharide based bioinks for multiscale 3D printing in tissue regeneration: A review. International Journal of Biological Macromolecules183, 564-588.  doi:10.1016/j.ijbiomac.2021.04.179

Messina, M., Duncan, A. M., Glenn, A. J., & Mariotti, F. (2023). Perspective: Plant-Based Meat Alternatives Can Help Facilitate and Maintain a Lower Animal to Plant Protein Intake Ratio. Advances in Nutrition, 14(3), 392-405. doi:10.1016/j.advnut.2023.03.003

Mun, W., Choi, S. Y., & Upatissa, S. (2023). Predatory bacteria as potential biofilm control and eradication agents in the food industry. Food Science and Biotechnology, 1-15. doi:10.1007/s10068-023-01310-4

Oran, İ. B., Yilmaz, S., Ertürk, M., & Gün, H. (2023). Technology, Artificial Intelligence, and Robotics in Future Wars. Journal of Organizational Behavior Research, 8(1), 244-258. 

Ossai, I. C., Hamid, F. S., & Hassan, A. (2022). Valorization of keratinous wastes: A sustainable approach towards a circular economy. Waste Management, 151, 81-104. doi:10.1016/j.wasman.2022.07.021

Oun, A. A., Shin, G. H., Rhim, J. W., & Kim, J. T. (2022). Recent advances in polyvinyl alcohol-based composite films and their applications in food packaging. Food Packaging and Shelf Life, 34,100991. doi:10.1016/j.fpsl.2022.100991

Pei, R., Tarek-Bahgat, N., Van Loosdrecht, M. C. M., Kleerebezem, R., & Werker, A. G. (2023).  Influence of environmental conditions on accumulated polyhydroxybutyrate in municipal activated sludge. Water Research, 232, 119653. doi:10.1016 /j.watres. 2023.119653

Rajabloo, T., Ceuninck, W. D., Wortswinkel, L. V., Rezakazemi, M., & Aminabhavi, T. (2021). Environmental management of industrial decarbonization with focus on chemical sectors: A review. Journal of Environmental Management, 302, 114055. doi:10.1016 /j.jenvman.2021.114055

Ranganadha, A. R., & Chandrasekhar, Ch. (2021). Production of Polyhydroxtbutyratye from marine source-A Review. Indial Journal of Ecology, 48(6), 1829-1836.

Ranganadha, A. R., Sravani, K., Sanjana, N., & Chandrasekhar, Ch. (2021). Production of biopolymer from bacteria – A Review. Environmental and Earth Sciences Research Journal, 8(2), 91-96. doi:10.18280/eesrj.080205

Ranganadha, A. R., Venkateswarulu, T. C., Indira, M., Narayana, A. V., Lohita, T. N., & Sriharsha, M. (2015). Identification of Membrane Drug Targets by Subtractive Genomic Approach in Mycoplasma Pneumonia. Research Journal of Pharmacy and Technology, 8(9), 1209-1216. doi:10.5958/0974-360X.2015.00221.8

Ranganadha, R. A., Vidyaprabhakar, K., Venkateswarulu, T. C., Krupanidhi, S., Nazneen Bobby, Md., Abraham, P. K., Sudhakar, P., & Vijetha, P. (2020). Statistical optimization of Polyhydroxtbutyratye (PHB) production by novel Acinetobacternosocomialis RR20 strain Using Response Surface Methodology. Current Trends in Biotechnology and Pharmacy, 14(1), 62-69.

Ranganadhareddy, A. (2022). A Review on Production of Polyhydroxyalkanoates in Microorganisms. Journal of Biochemical Technology, 13(1), 1-6.  doi:10.51847/Uo3EEbmgID

Ranganadhareddy, A. (2023). A Review on Biotechnological Approaches for the Production of Polyhydroxyalkanoates. Journal of Biochemical Technology, 14(2), 12-17.  doi:10.51847/Hxh14VrhOr

Reddy, A. R., Venkateswarulu, T. C., Babu, D. J., & Indira, M. (2015). Homology modeling studies of human genome receptor using modeller, Swiss-model server and esypred-3D tools. International Journal of Pharmaceutical Sciences Review and Research30(1), 1-6.

Sabarinathan, D., Chandrika, S. P., Venkatraman, P., Easwaran, M., Sureka, C. S., & Preethi, K. (2018). Production of polyhydroxybutyrate (PHB) from Pseudomonas plecoglossicida and its application towards cancer detection. Informatics in Medicine Unlocked, 11, 61-67. doi:10.1016/j.imu.2018.04.009

Sangiorgi, A., Gonzalez, Z., Ferrandez-Montero, A., Yus, J., Sanchez-Herencia, A. J., Galassi, C., Sanson, A., & Ferrari, B.  (2019). 3D Printing of Photocatalytic Filters Using a Biopolymer to Immobilize TiO2 Nanoparticles. Journal of the Electrochemical Society, 166(5), 3239-3248.  doi:10.1149/2.0341905jes

Shafie, M. H., Samsudin, D., Yusof, R., & Gan, C. Y. (2018). Characterization of bio-based plastic made from a mixture of Momordica charantia bioactive polysaccharide and choline chloride/glycerol based deep eutectic solvent. International Journal of Biological Macromolecules, 118, 1183-1192. doi:10.1016/j.ijbiomac.2018.06.103

Singh, G. P., Attavar, S. H., & Kavuri, S. (2022). Amnion Membrane Matrix and Bio Dentine in the Management of an External Apical Root Resorption. Annals of Dental Specialty, 10(2), 11-14.

Sun, L., Fang, S., Iqbal, S., & Bilal, A. R. (2022). Financial stability role on climate risks, and climate change mitigation: Implications for green economic recovery. Environmental Science and Pollution Research, 29, 33063-33074. doi:10.1007/s11356-021-17439-w

Thapsamut, T., Punsuvon, V., & Areeprasert, C. (2023). Fabrication of waste-derived porous geopolymer by community-scale carbonization and steam activation with potential copper adsorption. Waste Management, 166, 325-335. doi:10.1016 /j.wasman.2023.05.004

Thew, C. X. E., Sen, Z., Srinophakun, L. P., & Wooi, C. (2023). Recent advances and challenges in sustainable management of plastic waste using biodegradation approach. Bioresource Technology, 374, 128772. doi:10.1016/j.biortech.2023.128772

Van Roijen, E. C., & Miller, S. A., (2022).  A review of bioplastics at end-of-life: Linking experimental biodegradation studies and life cycle impact assessments. Resources, Conservation and Recycling, 181, 106236. doi:10.1016/j.resconrec.2022.106236

Vázquez-Fernández, A., Suárez-Ojeda, M. E., & Carrera, J. (2022). Review about bioproduction of Volatile Fatty Acids from wastes and wastewaters: Influence of operating conditions and organic composition of the substrate. Journal of Environmental Chemical Engineering, 10(3), 107917. doi:10.1016/j.jece.2022.107917

Yuan, Z., Nag, R., & Cummins, E. (2022). Human health concerns regarding microplastics in the aquatic environment-From marine to food systems. Science of the Total Environment, 823,153730. doi:10.1016/j.scitotenv.2022.153730

Zhang, W., & Rhim, J. W. (2022). Functional edible films/coatings integrated with lactoperoxidase and lysozyme and their application in food preservation. Food Control, 133, 108670. doi:10.1016/j.foodcont.2021.108670

Zhao, Z., Deng, S., Wang, Q., Jia, C., & Yang, J. (2022). Novel Insight into Blocking Cancer Metastasis by Biological Nano Confinement through Altering the Cancer Microenvironment. Clinical Cancer Investigation Journal, 11(4), 10-14.

 

 


Issue 4 Volume 16 - 2025